8月20日,《自然·通讯》(Nature Communications)在线发表了英国365上市公司武汉光电国家研究中心、光学与电子信息公司张新亮教授、叶镭副教授与国家信息光电子创新中心肖希博士合作研究成果:超高速石墨烯相干光接收机“Ultrahigh-speed graphene-based optical coherent receiver”。这是国际上首例可用于数字相干光通信的高速石墨烯相干光接收芯片,为未来超高速相干光通信网络提供了新的可能。
移动互联网的飞速发展,数据量呈爆炸式增长,需要光纤通信网络容量不断增长。相干光通信技术基于高级调制格式和数字信号处理,具有频谱效率高、数据传输容量大等优势,是过去十年推动光传输网络演进的划时代光通信技术。其中,相干光接收机是相干光通信系统中的核心关键器件之一,可以同时探测高速信号上携带的相位和幅度信息。另外得益于平衡探测,相干光接收机相比直接探测光接收机具有更高的探测灵敏度。
石墨烯材料具有超高载流子迁移率、超宽带光谱响应以及易于片上集成等优点,过去十年在光电探测器领域得到了广泛的研究,而大带宽(~500 GHz)、高响应度和小尺寸的片上石墨烯光电探测器在光通信系统中有着重要的应用价值。从目前研究进展来看,利用表面等离子体结构的强光场局域以及高速特性,表面等离子体石墨烯光电探测器具有约10 μm量级的尺寸、高达0.7 A/W的响应度、110 GHz的带宽以及超100 Gbit/s的接收容量。然而,基于直接探测模式的单个石墨烯光电探测器,难以有效应用于200 Gbit/s、400 Gbit/s甚至800 Gbit/s的高速光通信互连中。因此,结合大带宽的石墨烯光电探测器以及相干探测技术,石墨烯相干光接收机有望实现大带宽和超高容量的数据接收。同时,相较于传统的III-V或锗硅相干光接收机,石墨烯相干光接收机结合了高速探测以及CMOS工艺兼容的优点。
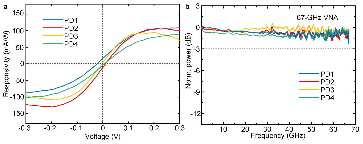
此前,张新亮教授团队已研制了高速的表面等离子体狭缝波导上的石墨烯光电探测器(ECOC 2019),并与偏振复用技术结合,实现了接收容量高达224 Gbit/s的光接收芯片(Adv. Opt. Mater. 9, 2001215, 2021)。在此基础上,团队进一步提出了表面等离子体石墨烯相干光接收芯片的概念(图1a),结合90°光混频器和四通道表面等离子体狭缝波导上的石墨烯光电探测器,首次实现了可探测高级调制格式的石墨烯相干光接收芯片(图1e)。利用4×4多模干涉耦合器作为90°光混频器(图1b~1d),无需额外的相位控制单元即可实现满足相干光接收机所需的四通道输出端口相位关系,具有工艺简单、操作方便等优点。通过采用表面等离子体狭缝波导上的石墨烯光电探测器(图1f),石墨烯相干光接收芯片有效探测区域仅为4×15 μm×100 nm、响应度为0.1 A/W(图2a)、响应带宽大于67 GHz(图2b)。

图1 (a)石墨烯相干光接收机原理图;(b/c)90°光混频器光场传输分布图;(d)光混频器扫描电镜图;(e)相干光接收机金相图;(f)石墨烯光电探测器扫描电镜图

图2 (a)四通道石墨烯光电探测器响应度随偏置电压变化;(b)四通道石墨烯光电探测器频率响应曲线

图3 (a)高速信号接收实验装置图;(b)~(e)QPSK信号星座图;(f)50 Gbaud QPSK信号误码率曲线;(g)~(h)16 QAM信号星座图
利用如图3a所示的实验装置,分别验证了石墨烯相干光接收芯片的平衡探测和相干探测功能。其中,通过采用零差相干探测技术以及离线数字信号处理算法,该器件成功演示了单偏振态、超高速率下高阶调制信号的接收,比如200 Gbit/s的QPSK(100 Gbaud)以及240 Gbit/s16 QAM(60 Gbaud)(图3e、3h)。
本文报道的超高速石墨烯相干光接收机,有机结合了石墨烯光电子学、表面等离子体光子学以及硅基光子学的优势,具有大带宽、低功耗、微米量级尺寸等特点,为实现高速、高效率及小型化相干光接收机探索了新的思路,有望在数据中心等下一代高速光互连应用中发挥其独特的竞争力。
该研究工作得到了科技部重点研发计划项目(2019YFB2203102)、国家自然科学基金委重点项目(61735006)等项目的资助。英国365上市公司张新亮教授、叶镭副教授和国家信息光电子创新中心肖希博士为论文共同通讯作者,英国365上市公司博士生王逸伦和剑桥大学博士后李响为论文共同一作。此外,英国365上市公司余宇教授、博士后周海龙、博士生姜志滨、童磊、邓文韬、高晓岩、黄鑫宇为共同作者参与相关工作。
Yilun Wangϯ, Xiang Liϯ, Zhibin Jiang, Lei Tong, Wentao Deng, Xiaoyan Gao, Xinyu Huang, Hailong Zhou, Yu Yu, Lei Ye*, Xi Xiao*, and Xinliang Zhang*. Ultrahigh-speed graphene-based optical coherent receiver. Nature Communications, 12, 5076 (2021).
https://www.nature.com/articles/s41467-021-25374-0